Simple Sled for Perfect Segmented Bowls
by tomatoskins in Workshop > Woodworking
66435 Views, 198 Favorites, 0 Comments
Simple Sled for Perfect Segmented Bowls
Ever since I purchased my lathe a few months ago, I have been impressed with the new world of woodworking. I wanted to get into bowl making but bowl blanks can get so expensive especially for exotic woods. Segmented bowls not only look amazing, but can cost less when making larger bowls. Looking around online I found that the gold standard for making segmented bowls was the Wedgie Sled invented by Jerry Bennett. Loving the simplicity and flexability of the design, I decided to make my own.
The benefit of using this sled over a standard miter gauge is the extreme accuracy of it. When using a miter gauge it's often hard to get right on the degree or half degree. You also have the accuracy of the blade, fence, and track of your table saw to contend with. Each if these small inaccuracies can add up to a big one reflected in the your work. With this sled, the only thing that needs to be accurate is the angle between the fences
Covering not only the build process of the sled but the math behind how to get any number of segments in a ring that you like, makes this the perfect sled for anyone interested in segmented turning.
Tools and Materials
Tools:
- Table Saw
- Drill
- Router
- Lathe
- File or Rasp
- Scroll or Bandsaw
- Hose Clamp
- Turners Tape
- Belt or Disc Sander
Materials:
Sled
- Plywood
- MDF
- Carriage Bolts
- t-nuts
- Washers
- Scrap Hardwood
- Small Magnets
Rubber Band Clamp
- Melamine
- Rubber Bands
- Small Nails
Bowl
- Hardwood
Router Sled
Using a piece of 3/4 plywood that measures roughly 15 x 13 inches, find the center line lengthwise. Drill and counterbore (from the bottom) two inches from the center and one inch from the edge.
Use a circle jig to route two slots (through the board) the size of your carriage bolt and 7 inches from the previously drilled holes. These slots should travel from 0 (center) to just over 40 degrees (outwards). Finish off with a larger slot that will allow the head of the carriage bolt to have clearance.
File Corners
Using a file or rasp, square up the round ends of each slot. This will allow for the full travel of your carriage bolts.
Cut Fences
Cut two pieces of 3/4 inch MDF two inches wide and 13 inches long. The faces of these fences need to be parallel. If they are not, you need to calibrate the rip fence on your table saw. You can fine tune these MDF fences using a pair of calipers and some sandpaper.
Drill a hole the size of your carriage bolt one inch from the end of each fence.
Locate Second Hole
Attach each fence to the sled. Using a brad point bit, locate the center of each slot and scratch a mark on the underside of each fence. Drill a clearance hole in the center and attach bolts. Slide each fence back and forth to ensure smooth operation. If they catch or bind, use sandpaper to clear the bind.
Attach Runner
Cut a hardwood runner the same size as your track. Slowly move up on the cut because you don't want any play in this runner.
Drill countersink holes in the bottom of the runner. Place washers or pennies in the slot to raise it up above the top of the table saw.
Apply double sided tape to the runner. Bring the fence to the 0 inches mark on your table saw (have the blade lowered). Butt up the edge of the sled (side where the sled fences don't slide) to the fence and press down on the runner.
This will attach the runner to the sled perfectly square to the blade (assuming your rip fence is square). Carefully remove the sled and runner from the table saw and attach it fully by driving screws through the previously drilled holes.
Zero Clearance Cut
Once the runner is attached, run it through the table saw to trim it square.
Knob Outline
Attach the template included in this step to a piece of scrap plywood using spray adhesive.
Cut the outside off using a bandsaw or scroll saw.
Downloads
Drill Clearance Hole
Drill a shallow hole just larger than the t-nut using a forstner bit. Drill a clearance hole through the knob the size of the shaft of the t-nut along with pilot holes for the prongs of the t-nut. This will keep the knob from splitting.
Test Knobs
Test that the knobs work as expected.
Trim Bolt and Cover Knob
Tighten the knob and measure how much of the bolt to remove. You can cut the bolt to length using an angle grinder or hacksaw. Verify that the length of the bolt will not extend above the top of the t-nut. Glue a thin pice of wood on top of the knob to dress it up.
Wedge Template
There are many ways to get these wedges. The least expensive (if you have the tools already) is to either 3D print or use a CNC machine to carve them. I have uploaded the templates that I have personally created in both the .stl and solid files. I designed these wedges to fit within my 5 x 5 inch print bed on my 3D printer. But you can create your own. The math is simple to figure out what angle you need the wedge to be.

You can buy pre-made wedges from the inventor of this sled design here, or if you are patient and wanting to create some by hand Marius Hornberger shows how to do that here (you can also watch his full video on this. He has some great insights that I may have missed).
Downloads
Setup Sled
Setting up this sled is extremely simple. Take the predesigned wedge for the number of segments you are wanting, and center it as much as possible and tighten your fences in place. That's it!
Setup Stop Block
Attach a scrap piece of wood to your fence to act as a stop block. This will allow for clearance of your segments once they are cut off. A larger stop block will allow more space to let the segments fall too. This is what I have done in projects since making this process.
Segment Deflector
Cut off a long piece of scrap wood at 45 degrees. This will sit next to the blade to act as a defector that will keep the cut off segments from falling in the blade. Drill clearance holes the size of small neodymium magnets. Epoxy magnets in place. I've used this setup to cut many segments and I haven't felt that the magnets aren't strong enough to hold it in place. If you are concerned about this, you can make a dedicated throat plate with the deflector glued in place.
First Segmented Bowl
Use graph paper to decide what shape you want you bowl to take. This will help you calculate what size stock you need to start with as well as what length each segment needs to be. The diameter of each ring will directly correlate to how long each segment is. I didn't end up following my plan, but the math still applies.
The calculations of the segments may sound scary, but they are quite simple.
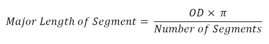
Once you have the idea of your bowl sketched out, figure out what the OD (outside diameter) and ID (inside diameter) need to be. This will correlate to the width of your stock (all the math shown will be based off the top ring shown in yellow on my sketch. Apply the same math with each ring).
From the sketch we can see that our OD is 7.5 inches and our ID is 5.5 inches. To calculate the length needed on the exterior of each segment take the OD multiply it by Pi and divide that by the number of segments in the ring.

For this ring (7.5 x 3.14) / 18 = 1.309 inches
However, you cannot set your stop block to this length! You must do one more calculation to know where to set your stop block.
To calculate the distance of your stop block, you must take the major length of your segment and multiply it by the cosine of the angle of your wedge.

For this ring 1.309 x Cos (360 / 18) = 1.230 inches ~ 1 1/4 inches
Now set your stop block to this length and you are good to go! See, wasn't that easy!
Sled Setup and First Cut
Select the wedge for the number of segments you want in your ring.
Set the fence to the position that correlates to the size ring you are looking for.
Mark one face and edge with a marker. This will help with arranging the segments in a later step.
Cut Segments
Trim the end to the correct angle and throw away the scrap.
Slide the stock to the other fence (do not flip the stock in anyway, only slide from fence to fence) and bump it up to the edge of the stop block. Cut the segment and slide the stock again to the other fence. Repeat until you have the number of segments needed for the ring you are making. Remember to clear out the segments when they start to build up. Again, if you use a larger stop block (what I eventually do) you will not need to clear them out as often.
Calibrate Wedge
If your 3d printer isn't 100% accurate (like mine), you will need to calibrate your wedge until it's 100% perfect.
To do this, look at the ring you have just made. There are two possible errors either there is a gap on the outside of the ring, or there is one on the inside. The rule of thumb for calibrating these segments is to remove where the excess is. If there is a gap on the outside of the ring (like shown on the left) scrape or sand a little off at a time from the inside (narrower) part of the wedge. If there is a gap on the inside of the ring (like shown on the right) scrape or sand a little off at a time from the outside (wider) part of the wedge. Readjust your fences and run another test cut.
The images were a drastic representation of the errors possible, but used to show clarity in understanding this process.
Assemble and Dry Fit the Segments
Using a sanding block, knock off all the burs. Separate your segments into two piles. You will find that half of the segments have a line on the face and shorter side, the other half have a line on the face and wider side. Flip one pile over then assemble alternating between each pile. This will cancel out any error in the tilt of your table saw blade. Hold the segments together using a rubber band and verify that there aren't any gaps in the segments.
Glue Segments - Hose Clamp
The first option to glue the rings together is to use a hose clamp. The pros to this option is that you can apply a lot of pressure like a clamp and you can apply the pressure slowly so you can adjust the segments as you go. The cons are that depending on how many rings your are gluing up at once, using hose clamps can get a little expensive and there is the portion of the clamp with the screw. This can cause uneven pressure on the ring.
Glue Segments - Rubber Bands
The second option to glue the rings together is to use rubber bands. The pros of this option is that rubber bands are much cheaper than hose clamps, you can apply one rubber band at a time which makes it easy to adjust the segments as you go, and the pressure around the ring will always be even. The cons are that you can't apply as much pressure as you can with a hose clamp, and you need to make another jig (shown in the next step).
Rubber Band Jig
To make this rubber band jig, cut a square piece of melamine a few inches larger than the largest bowl you plan on turning on your lathe. Mine measured 14 x 14 inches.
Draw diagonals from corner to corner and through the middle on each side. This will effectively divide your board into 8 segments. Using a compass (I made one from a scrap piece of wood) mark rings about a half inch apart. Drill all the intersections using a drill bit slightly larger than the nails you plan to use.
To use the jig, insert 8 nails in the jig and stretch a rubber band around them. Place your segments inside the rubber band and remove the nails one at a time.
When gluing segments together, be sure to add many rubberbands (8+) to each ring to apply extra pressure.
Bowl Parts
The parts of the bowl are very simple. There are the rings you've already created, and flat bottom. Cut off the corners of the bottom on the bandsaw to make turning it easier.
Prepair Bottom
Use double sided turners tape to attach the bottom to a waste block. This is the tape I use. It's expensive but I it is amazing to work with. I definitely suggest purchasing your own for this process. Bring your tail stock up and turn the bottom round. I cut a hole in the bottom using a forstner bit, and then enlarged it. If you like, you can just turn this hole by hand and not use the bit. Attach your jaws and remove the bottom from the waste block.
Prepare Rings
Flatten each face of the rings. I found using a large belt sander to be the easiest option for this. You could also use a disc sander if available.
Glue Up
Center the bottom in the next ring of the bowl and mark the edge. Apply glue on this face and clamp in place. Repeat this process until the entire bowl is glued up.
Mount the Bowl
Insert the jaws in the bottom of the bowl and begin shaping the bowl.
Possibilities
There are so many possibilities for this process. I made rings of 8, 9, 10, 16, 18, 32, 48 segments. As you can see when the number of segments goes up, so does the size of your ring. The outside of each of the 48 segments is just over 1/4 inch, but the diameter is nearly 5 inches.
What projects can you make with this technique? What other applications does it have besides bowls and cups? a bangle or a pair of earrings? Let me know what you think.